Prodej ubytování, Jablonec nad Nisou, Anenská, 2679 m2 (ID: 1914634)

Anenská, Jablonec nad Nisou

Cena na vyžádání
/za nemovitost
info v RK, cena k jednání
Získejte výhodnou HYPOTÉKU Chci hypotéku

Parametry nemovitosti

AdresaAnenská, Jablonec nad Nisou
ID00068
StavbaSmíšená
Stav objektuPřed rekonstrukcí
VybavenoNe
Lokalita objektuCentrum obce
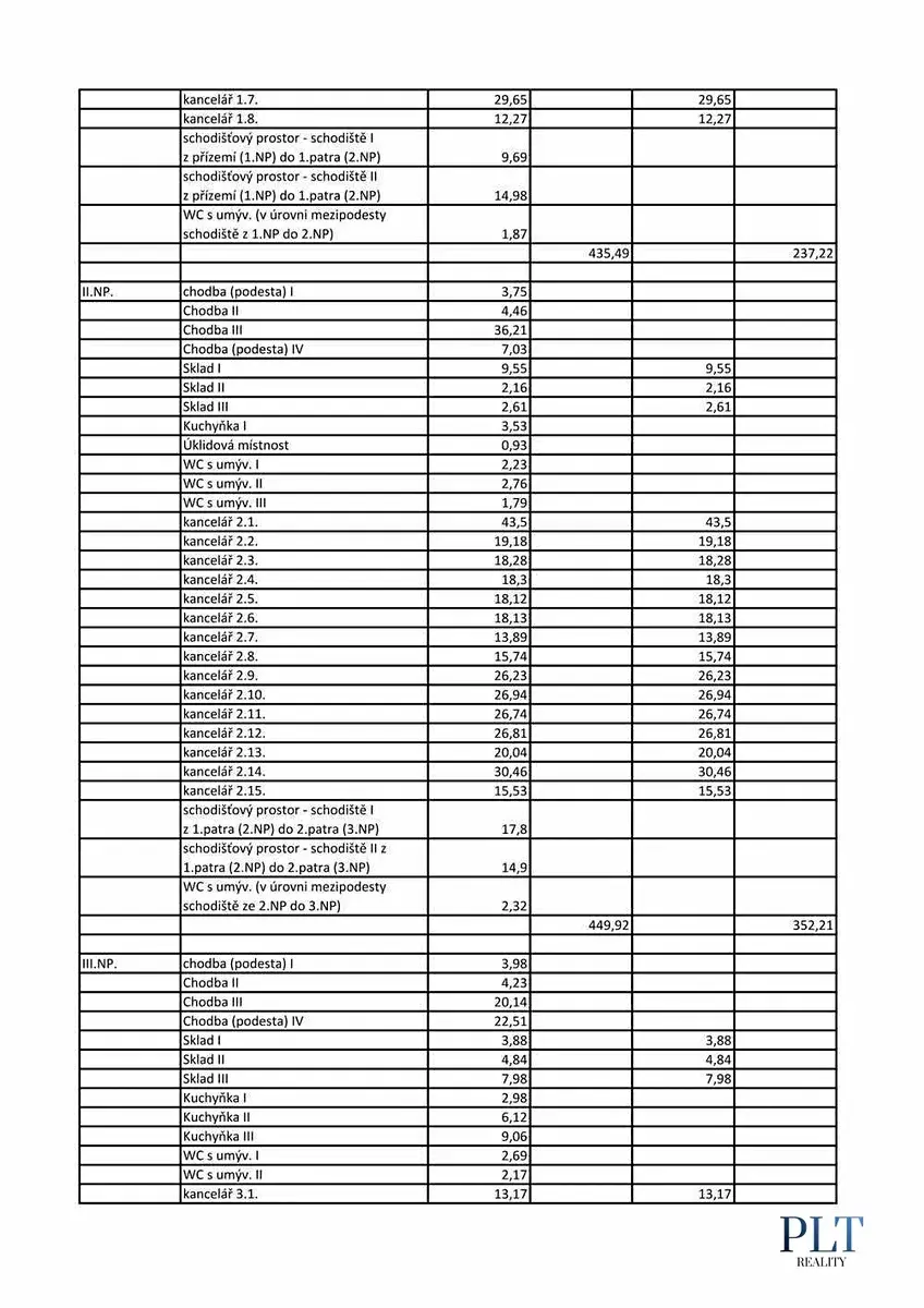
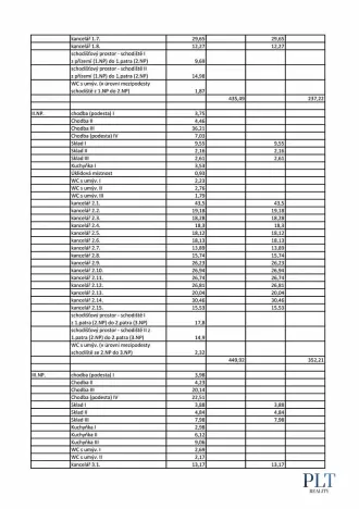
Užitná plocha2679 m2
Elektřina120V, 230V
PlynPlynovod
OdpadVeřejná kanalizace
DopravaVlak, Silnice, MHD, Autobus
VodaVodovod
Výtah
Parkování

Origo partneři v Jablonci nad Nisou

Rekonstrukce

Úklidové služby

Popis

Nabízíme vám jedinečnou příležitost investovat do dvou propojených kancelářských budov s obrovským potenciálem pro přestavbu na moderní bydlení. Tyto budovy se nacházejí na výborné adrese v centru Jablonce nad Nisou a nabízejí rozsáhlou plochu 2 679 m2.

Charakteristika:

- Dvě propojené budovy s možností kreativní přestavby na byty.
- Výborná lokalita v centru města s dobrou dostupností ke všem občanským službám, restauracím a obchodům.
- Potřeba kompletní rekonstrukce dává investoři volnost v navržení moderního a atraktivního bydlení.

Výhody:

- Zajímavý projekt pro investory, kteří hledají možnosti v oblasti nemovitostí.
- Strategická poloha pro bydlení v centru města s veškerými výhodami moderního života.
- Možnost vytvoření exkluzivního rezidenčního prostoru s unikátním charakterem.

Investiční Příležitost:

- Přeměňte tyto budovy na moderní bydlení a získejte atraktivní návratnost investice.
- Možnost vytvoření multifunkčního prostoru zahrnujícího byty, kanceláře nebo obchody.

K dispozici je i Tržní odhad nemovitosti

Cena a Kontaktní Informace:

Pro více informací nebo domluvení prohlídky nás prosím kontaktujte na níže uvedených kontaktech.

Nezmeškejte tuto jedinečnou šanci přetvořit tyto budovy ve středisko moderního bydlení v srdci Jablonce nad Nisou!

Makléř

Máte zájem o tuto nemovistost?

Tímto, v souladu s nařízením Evropského parlamentu a Rady (EU) 2016/679, v platném znění, prohlašuji, že mi je alespoň 16 let a uděluji tak svůj souhlas se zpracováním zadaných údajů (jméno, telefon, e-mail, ip adresa) společnosti B3 Technology, s.r.o., IČ: 07330600, se sídlem Novostavby 126/23, 435 11 Lom (správce dat), za účelem předání dotazu z tohoto formuláře Vámi vybranému inzerentovi a zpětného kontaktování mé osoby. Osobní údaje bude správce zpracovávat manuálně i automaticky přímo prostřednictvím svých zaměstnanců. Informace předané tímto formulářem budou uloženy v databázi správce maximálně po dobu 10 let. Odvolání souhlasu s uložením a zpracováním poskytnutých dat lze e-mailem na info@origo-reality.cz. V případě podezření na neoprávněné použití Vámi poskytnutých údajů máte právo předat podnět k šetření Úřadu pro ochranu osobních údajů. Více informací
Chystáte se prodat nemovitost?
Pomůžeme Vám!

Přihlášení k odběru

Nenechte si ujít nejnovější nabídky prodeje ubytování v Jablonci nad Nisou.