Pronájem kanceláře, Zlín, Kvítková, 29 m2 (ID: 960897)

Kvítková, Zlín

4 883 Kč
/za měsíc
+ spotřeba energií a služeb 3.450,- Kč (celková měsíční platba 8.599,12 Kč + DPH) + zprostředkování
Získejte výhodnou HYPOTÉKU Chci hypotéku

Parametry nemovitosti

AdresaKvítková, Zlín
IDN00144
StavbaCihlová
Stav objektuVelmi dobrý
Typ objektuPatrový
Lokalita objektuCentrum obce
VlastnictvíOsobní
Užitná plocha29 m2
Zastavěná plocha29 m2
Podlahová plocha29 m2
Třída energetické náročnostiC - Úsporná

Origo partneři v Zlíně

Pojištění a finance

Popis

Kancelářské prostory Zlín - centrum, Kvítková ul.

Momentálně v nabídce:

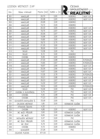
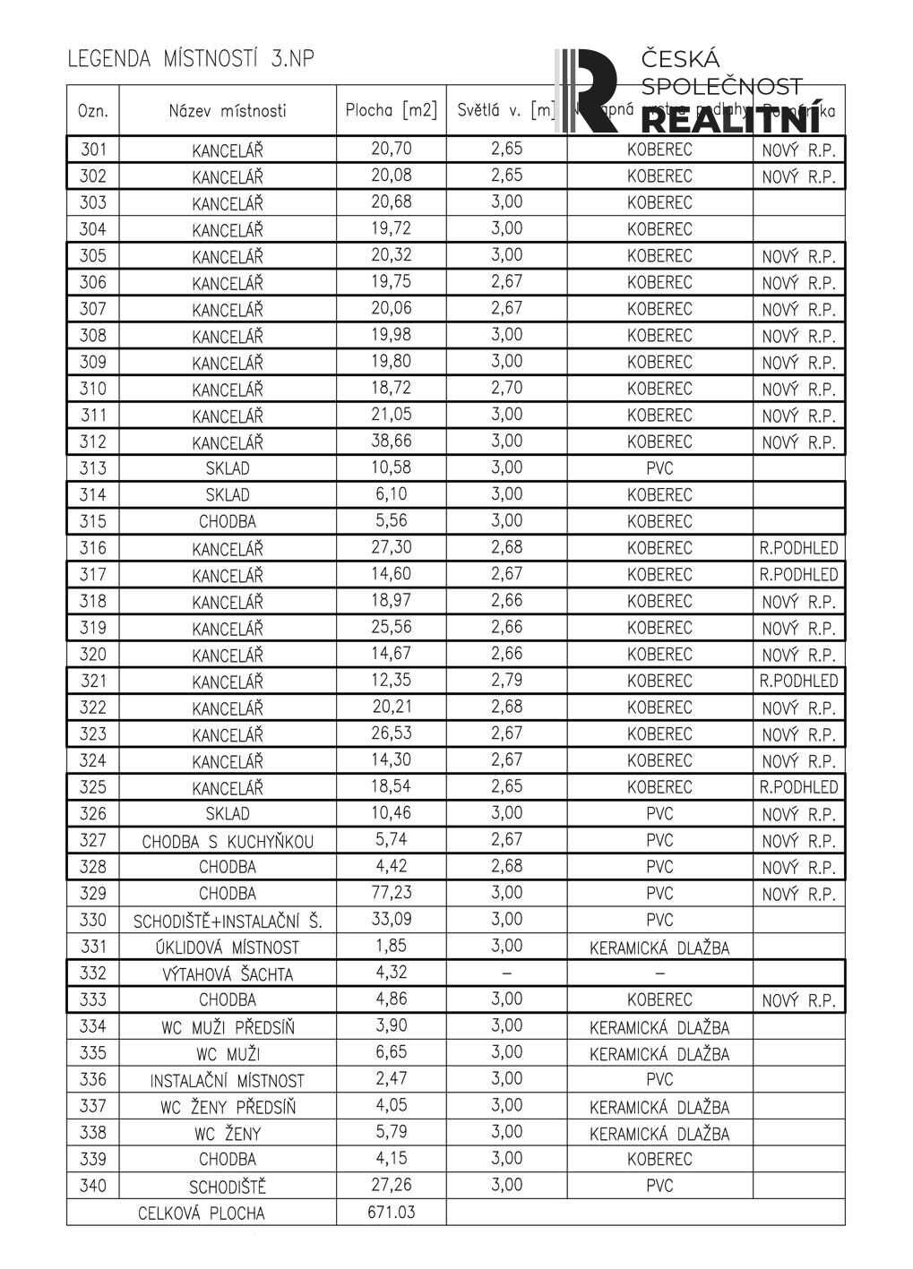
3.NP:

- přehled uspořádání kanceláří v příloze ve fotografiích, aktuální stav volných kanceláří a cena bude sdělena telefonicky na dotaz, k dispozici ihned. (Orientační cena = nájemné 161,- Kč/m2/měsíc + energie a služby 123,- Kč/m2/měsíc)

4. a 5.NP:

- velikost 25,08 m2, kancelář 422, cena nájemné 4.035,50 Kč + energie a služby 3.070,50 Kč (7.106,- Kč) + DPH, k dispozici ihned,

- velikost 25,70 m2, kancelář 415, cena nájemné 4.135,25 Kč + energie a služby 3.146,41 Kč (7.281,66 Kč) + DPH, k dispozici ihned,

- velikost 29,91 m2, kancelář 410, cena nájemné 4.883,44 Kč + energie a služby 3.715,68 Kč (8.599,12 Kč) + DPH, k dispozici ihned,

- velikost 31,66 m2, kancelář 503, cena nájemné 4.270,18 Kč + energie a služby 3.249,07 (7.519,25 Kč) + DPH, k dispozici ihned.

Internet - síť vysokorychlostního internetu pomocí optického vlákna - je zajištěn společností Avonet s.r.o.
Akční cenová nabídka pro nájemníky je přiložena ve fotografiích.

Možnost pronájmu parkovacího stání před budovou o velikosti 2,5 m x 5 m, cena 1.600,- Kč + DPH / měsíc.

Přístup do prostor možný 24 hodin denně, 7 dní v týdnu. V pracovní hodiny je k dispozici recepce v přízemí u vstupu do budovy.

Poplatek za dodávky veškerých energií, vody a služeb (úklid, recepce, odvoz TKO, provoz výtahu atd.) představuje částku cca 123,88 Kč bez DPH/m2/měsíc.

Dům č. p. 4703 na ulici Kvítková je situován v území městské památkové zóny Zlín. Jedná se o dominantní šestipodlažní objekt tvořící spolu s navazujícím shodně architektonicky řešeným domem jižní frontu ulice Kvítková.
Jeho hmota, urbanistické začlenění a vnější architektonický výraz významně spoluvytváří přilehlé městské prostředí i prostor MPZ Zlín.

Veřejné parkování v parkovacím domě OC Zlaté jablko vzdáleno 116 m.

Pro více informací a sjednání termínu nezávazné prohlídky mě kontaktujte.

Makléř

Máte zájem o tuto nemovistost?

Tímto, v souladu s nařízením Evropského parlamentu a Rady (EU) 2016/679, v platném znění, prohlašuji, že mi je alespoň 16 let a uděluji tak svůj souhlas se zpracováním zadaných údajů (jméno, telefon, e-mail, ip adresa) společnosti B3 Technology, s.r.o., IČ: 07330600, se sídlem Novostavby 126/23, 435 11 Lom (správce dat), za účelem předání dotazu z tohoto formuláře Vámi vybranému inzerentovi a zpětného kontaktování mé osoby. Osobní údaje bude správce zpracovávat manuálně i automaticky přímo prostřednictvím svých zaměstnanců. Informace předané tímto formulářem budou uloženy v databázi správce maximálně po dobu 10 let. Odvolání souhlasu s uložením a zpracováním poskytnutých dat lze e-mailem na info@origo-reality.cz. V případě podezření na neoprávněné použití Vámi poskytnutých údajů máte právo předat podnět k šetření Úřadu pro ochranu osobních údajů. Více informací
Chystáte se prodat nemovitost?
Pomůžeme Vám!
Theleadway banner

Přihlášení k odběru

Nenechte si ujít nejnovější nabídky pronájmu kanceláří v Zlíně.