Prodej pozemku, Kolín - Sendražice, 4188 m2

Kolín, okres kolín, Sendražice

8 781 398 Kč
/za nemovitost
Hypotéka od 39 248 Kč /měs. Chci hypotéku

Parametry pozemku

AdresaKolín, okres kolín, Sendražice
ID24SL107
VlastnictvíOsobní
Plocha pozemku4188 m2
PlynPlynovod
OdpadVeřejná kanalizace

Origo partneři v Kolíně

Pojištění a finance

Popis

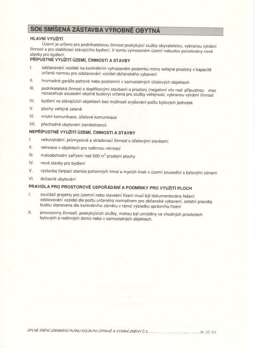
Ve výhradním zastoupení majitele Vám nabízíme hezký, rovinatý a velmi dobře přístupný komerční pozemek o velikosti 4.188 m2, který je v Územním plánu města Kolína po úpravě po vydání změny č. 5 z června 2022 vedený v kategorii S06 SMÍŠENÁ ZÁSTAVBA VÝROBNĚ OBYTNÁ. Pozemek se nachází v městské části Kolín Sendražice, ulice V Jezírkách a je přístupný z asfaltové komunikace patřící městu Kolín. Veškeré inženýrské sítě jsou v dosahu. Tento pozemek o velikosti 4.188 m2 se skládá ze dvou pozemků vedených v katastru nemovitostí pod parcelním číslem 513/10 o výměře 1.838 m2 a parcelním číslem 513/11 o výměře 2.350 m2, druh pozemku orná půda. Výhodou této nabídky je velmi výhodná poloha. Do průmyslové zóny Kolín Ovčáry je to pouhé 2 km, na nájezd na dálnici D11 necelých 11 km. Vzhledem k tomu, že se jedná o ojedinělou nabídku s výhodnou polohou a příznivou cenou (2.096,80 Kč/m2), tento pozemek ke koupi doporučuji.

Makléř

Máte zájem o tento pozemek?

Tímto, v souladu s nařízením Evropského parlamentu a Rady (EU) 2016/679, v platném znění, prohlašuji, že mi je alespoň 16 let a uděluji tak svůj souhlas se zpracováním zadaných údajů (jméno, telefon, e-mail, ip adresa) společnosti B3 Technology, s.r.o., IČ: 07330600, se sídlem Novostavby 126/23, 435 11 Lom (správce dat), za účelem předání dotazu z tohoto formuláře Vámi vybranému inzerentovi a zpětného kontaktování mé osoby. Osobní údaje bude správce zpracovávat manuálně i automaticky přímo prostřednictvím svých zaměstnanců. Informace předané tímto formulářem budou uloženy v databázi správce maximálně po dobu 10 let. Odvolání souhlasu s uložením a zpracováním poskytnutých dat lze e-mailem na info@origo-reality.cz. V případě podezření na neoprávněné použití Vámi poskytnutých údajů máte právo předat podnět k šetření Úřadu pro ochranu osobních údajů. Více informací
Chystáte se prodat nemovitost?
Pomůžeme Vám!
Theleadway banner

Přihlášení k odběru

Nenechte si ujít nejnovější nabídky prodeje pozemků (ostatní) v Kolíně.